Либертарианцы — это аморальные индивидуалисты со склонностью к аутизму
Большинство исследований фокусируются на двух ипостасях политической идентичности: либералы и консерваторы (американские). В этот раз наткнулся на попытку выйти за привычные рамки и составить психологический портрет среднего либертарианца и выяснить чем они отличаются от остальных.
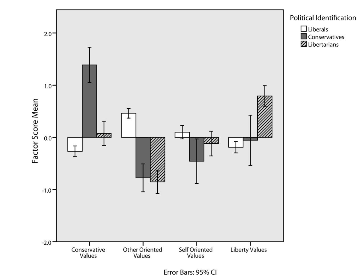
Американские психологи использовали различные вариации и комбинации психологических тестов, которые выявляют разные моральные ценности. В их исследовании участвовало 12 тыс. либертарианцев. И вот что у них получилось:
▪️Либертарианцы выше всего ставят экономическую свободу и свободу от вмешательства со стороны государства. Для них она важнее всех остальных ценностей как предотвращение вреда и справедливости, присущей либералам. В этом они едины с консерваторами
▪️Либертарианцы довольно низкой ценят моральные ценности (альтруизм, уважение к авторитету) и высоко ставят прагматические и утилитарные. Например, они с большей готовностью выражали готовность пожертвовать жизнью других при решении «дилеммы вагонетки».
▪️Либертарианцы отличаются высоким моральным релятивизмом
▪️Либертарианцы руководствуются больше разумом, чем чувствами и эмоциями в сравнении с либералами и консерваторами
▪️Либертарианцы выше, чем все остальные ценят автономию индивида и низко — групповую солидарность
▪️Либертарианцы менее склонны к эмпатии, чем остальные.
▪️Либертарианцы тяготеют к одиночеству и меньше ценят социальные связи
В общем, суммируя данные этого исследования, можно сказать, что либертарианцы обладают уникальным моральным обликом: с одной стороны они поддерживают классические либеральные ценности такие как свобода и считают неравенством приемлемым — что их сближает с американскими консерваторами; с другой, они сильно отличаются от тех, кто себя называет «либералами», отрицая, например, позитивные свободы и придавая меньшую ценность иным моральным проблемам.
Помимо прочего либертарианцы уповают больше на разум, чем на эмоции.
Короче психологически либертарианцы — это классические либералы, но с одним нюансом: они в большей степени склонны поддерживать этический релятивизм, то есть отвергать существование общих моральных принципов. Их упование на индивидуальную автономию и свободу даже выше, чем у классических либералов, а приоритет разума и сниженная эмпатия роднит их с такими аутистами как Джереми Бентам.
И последнее: либертарианец — это психологическая аномалия. Среднестатистический человек в большей степени себя будет ассоциировать с левыми либералами или консерваторами.
Iyer, R., Koleva, S., Graham, J., Ditto, P., & Haidt, J. (2012). Understanding libertarian morality: The psychological dispositions of self-identified libertarians.
А.Т.
#кратко
🔹Подпишись на Political Animals
Большинство исследований фокусируются на двух ипостасях политической идентичности: либералы и консерваторы (американские). В этот раз наткнулся на попытку выйти за привычные рамки и составить психологический портрет среднего либертарианца и выяснить чем они отличаются от остальных.
Американские психологи использовали различные вариации и комбинации психологических тестов, которые выявляют разные моральные ценности. В их исследовании участвовало 12 тыс. либертарианцев. И вот что у них получилось:
▪️Либертарианцы выше всего ставят экономическую свободу и свободу от вмешательства со стороны государства. Для них она важнее всех остальных ценностей как предотвращение вреда и справедливости, присущей либералам. В этом они едины с консерваторами
▪️Либертарианцы довольно низкой ценят моральные ценности (альтруизм, уважение к авторитету) и высоко ставят прагматические и утилитарные. Например, они с большей готовностью выражали готовность пожертвовать жизнью других при решении «дилеммы вагонетки».
▪️Либертарианцы отличаются высоким моральным релятивизмом
▪️Либертарианцы руководствуются больше разумом, чем чувствами и эмоциями в сравнении с либералами и консерваторами
▪️Либертарианцы выше, чем все остальные ценят автономию индивида и низко — групповую солидарность
▪️Либертарианцы менее склонны к эмпатии, чем остальные.
▪️Либертарианцы тяготеют к одиночеству и меньше ценят социальные связи
В общем, суммируя данные этого исследования, можно сказать, что либертарианцы обладают уникальным моральным обликом: с одной стороны они поддерживают классические либеральные ценности такие как свобода и считают неравенством приемлемым — что их сближает с американскими консерваторами; с другой, они сильно отличаются от тех, кто себя называет «либералами», отрицая, например, позитивные свободы и придавая меньшую ценность иным моральным проблемам.
Помимо прочего либертарианцы уповают больше на разум, чем на эмоции.
Короче психологически либертарианцы — это классические либералы, но с одним нюансом: они в большей степени склонны поддерживать этический релятивизм, то есть отвергать существование общих моральных принципов. Их упование на индивидуальную автономию и свободу даже выше, чем у классических либералов, а приоритет разума и сниженная эмпатия роднит их с такими аутистами как Джереми Бентам.
И последнее: либертарианец — это психологическая аномалия. Среднестатистический человек в большей степени себя будет ассоциировать с левыми либералами или консерваторами.
Iyer, R., Koleva, S., Graham, J., Ditto, P., & Haidt, J. (2012). Understanding libertarian morality: The psychological dispositions of self-identified libertarians.
А.Т.
#кратко
🔹Подпишись на Political Animals
Комментарии
Отправить комментарий
Можно оставить комментарии здесь - можно написать свое имя в меню "Имя", а можно оставить анонимно... :)